QA Environment

2022-2026 ACTION AGENDA EXPLORER

STRATEGY 16

Submerged Aquatic Vegetation

Protect and restore submerged aquatic vegetation (SAV) by expanding public outreach, education, and voluntary programs, ensuring regulatory protection, and implementing restoration projects.
Submerged aquatic vegetation, including kelp forests, surfgrass, and seagrass meadows is vital to the health of Puget Sound and the Salish Sea. It provides critical refuge, feeding, and nursery grounds for forage fish, rockfish, and salmon, and fuels food webs that support healthy bird and marine mammal populations—including Southern Resident Orca. Submerged aquatic vegetation also helps prevent erosion and maintain shoreline stability by anchoring seafloor sediment with its spreading roots and rhizomes.

Generally, kelp species in Puget Sound require hard substrates for attachment while eelgrass grows in sandy environments. Kelp requires clear, cold water with enough nutrients to support growth, while eelgrass can thrive in warmer water temperatures. Eelgrass and kelp are vulnerable to excessive nutrient inputs which lead to algae blooms or nuisance macroalgae which shade native species and inhibit growth.

Successful strategies will include coordinated research and management actions that can inform outreach and education about the need to protect and restore submerged aquatic vegetation.

Implementing the Shoreline Armoring and other Implementation Strategies supports the success of this strategy.
DESIRED OUTCOMES
  • Reduce disturbance of eelgrass and kelp
  • Reduce shading of shallow water habitat
Actions

Fully implement and enforce available protections for submerged aquatic vegetation through existing regulations, programs, and policies. (ID #26)

Key opportunities for 2022-2026 include:

  • Utilize marine vegetation data to identify distribution trends and establish priority areas for conservation and recovery;
  • Integrate marine vegetation, climate change, and sediment loading considerations into existing policies, programs, and permitting processes, such as Shoreline Master Programs (SMPs);
  • Design new or retrofits of existing in-water and over- water structures to avoid impacts to existing and historic eelgrass and kelp habitat;
  • Expand anchor-out zones at suitable sites through a multi-layered approach that includes boater education, incentives, monitoring, and regulation.

Accelerate recolonization and expansion of eelgrass and kelp bed at sites shown to possess suitable ecological conditions using transplants, propagation, outplanting, and other effective methods. (ID #58)

Key opportunities for 2022-2026 include:

  • Coordinate research and monitoring efforts with restoration partners to identify areas ecologically suitable for restoration efforts;
  • Develop adaptive management strategies; ensure inclusion of protection efforts;
  • Increase long-term monitoring and evaluation;
  • Increase incentives for key partners (for example, shellfish farmers and hatcheries) to participate in research and growth efforts.

Target public outreach and education to foster community stewardship, individual responsibility, and collective action to benefit eelgrass and kelp conservation and recovery. (ID #59)

Key opportunities for 2022-2026 include:

  • Leverage existing work groups, coalitions, and partnerships to share information more broadly on the importance of marine vegetation to Puget Sound;
  • Develop targeted outreach strategies to groups such as the shellfish and kelp harvest communities.

Implement targeted research initiatives to understand the short-and long-term factors driving localized changes in eelgrass and kelp. (ID #60)

Key opportunities for 2022-2026 include:

  • Increase funding for and conduct research on the influence of stressors (for example, temperature, turbidity, algae blooms, sedimentation, impacts by boaters, and biological and disease threats) to better understand conditions for successful conservation and restoration;
  • Utilize existing research and monitoring groups to coordinate data collection and analysis; and integrate marine vegetation surveys into community science programs.
Implementation Considerations

Key opportunities for 2022-2026 to integrate human wellbeing considerations and climate change responses into efforts include:

Human Wellbeing

  • Expand accessible outreach and include information in recreation and commercial permits around the importance of submerged aquatic vegetation.
  • Integrate understanding of impacts on communities from submerged aquatic vegetation protection regulations, programs, and policies.
  • Establish partnerships between educational institutions, restoration practitioners, and community stewards to foster collective action for submerged aquatic vegetation protection and restoration.

Climate Change

  • Incorporate information on climate impacts into efforts to accelerate the recolonization of kelp and eelgrass.
  • Promote increased carbon sequestration in efforts to accelerate the recolonization of kelp and eelgrass.
  • Coordinate submerged aquatic vegetation restoration with projects that restore sediment processes to support carbon storage and sequestration.
Ongoing Programs

Ongoing programs provide regulatory oversight, technical support, implementation resources, funding, or guidance and serve as the critical foundation for Puget Sound recovery. The following is a list of example state and federal ongoing programs that help to implement this strategy. Many more local, tribal nations, and nongovernmental programs exist that support this strategy.

What We're Measuring

We achieve our recovery goals for healthy human populations and increasing functioning habitat by reducing the physical disturbance of eelgrass, kelp, and other vegetation from boats, vessels, anchors, and mooring infrastructure; reducing the shading of shallow water habitat by in- and over-water structures; and improving water quality (decreasing eutrophication and turbidity). Indicators of success include:

Eelgrass Area
Floating kelp bed area
Short and long-term change at eelgrass sites

Soundwide eelgrass area is a metric for the overall health of native seagrass beds in greater Puget Sound. Seagrass is an important component of nearshore habitats and is sensitive to human disturbance and declines in water quality.

Annual estimates of soundwide eelgrass area (acres) in greater Puget Sound. The dashed line is the long-term average of annual estimates from 2004 to 2023. Error bars are standard error.

This indicator assesses long-term trends in the extent of canopy-forming kelp forests at sampling locations throughout Washington State by tracking the area of kelp beds on the water surface. Results at each location are synthesized with other information into an overall assessment of floating kelp status within 11 sub-basins defined by oceanography.

The proportion of locations in each long-trend category within each sub-basin. Sub-basins are sorted geographically, from coastal sub-basins (left) to the innermost basin (right). Hood Canal is not included because there are no sampling locations there. This figure visualizes the same location results as the map, in bar chart form. (SCO - Southern Coast; NCO - Northern Coast; WST - Western Strait of Juan de Fuca; EST - Eastern Strait of Juan de Fuca; SJI - San Juan Islands; NPS - North Puget Sound; SWH - Saratoga & Whidbey Basins; ADM - Admiralty Inlet; CPS - Central Puget Sound; SPS - South Puget Sound)

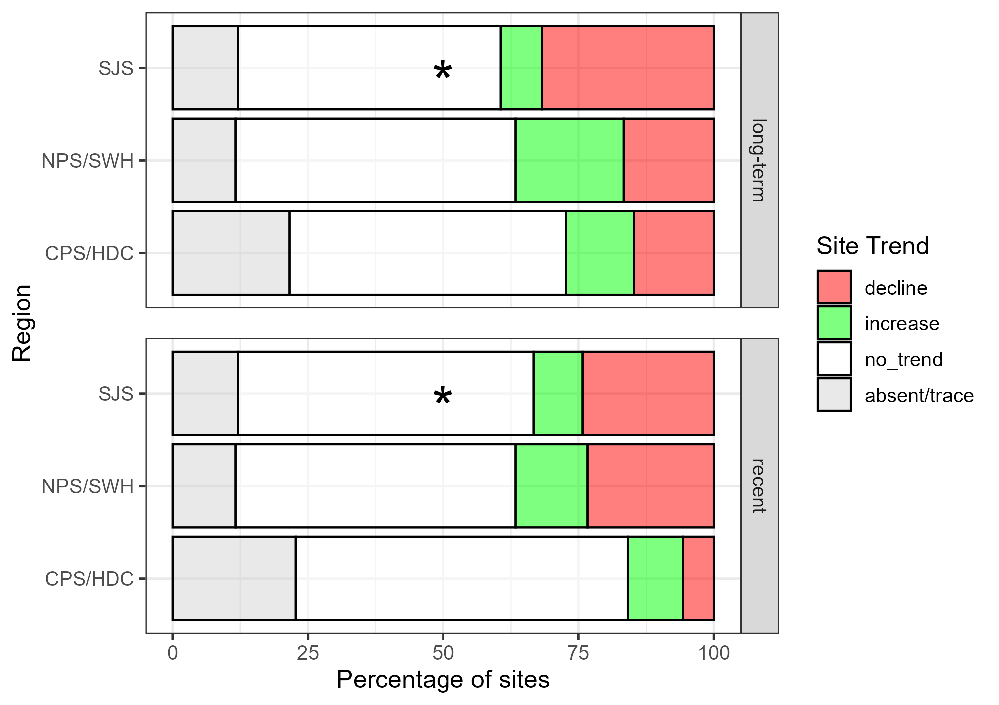
This indicator measures the number of eelgrass sites that are increasing, decreasing, stable, or absent. We calculate the change in eelgrass area at a site over two time periods: short-term (6 years), and long-term (all years monitored). This indicator complements soundwide area reporting by identifying change on smaller scales.

Trends in eelgrass area at 214 randomly selected sites in greater Puget Sound. Horizontal bars show the percentage of all sites with eelgrass declines (red), increases (green), no trend (white), trace eelgrass or no eelgrass (grey). Site trends are shown for 3 regions of greater Puget Sound: San Juan Islands and Strait of Juan de Fuca (SJS), Northern Puget Sound and Saratoga Whidbey Basin (NPS/SWH), and Central Puget Sound and Hood Canal (CPS/HDC). The top part of the graph shows long-term trends (based on all data between 2000 and 2023). The bottom part is based on data from 2018-2023 (recent trends). The star indicates there is a significant difference between the number of increasing and declining sites for the region as a whole (not just in the selected sample).


Legislative Actions

Test leg actions text. Shared across all strategies. This is a test!